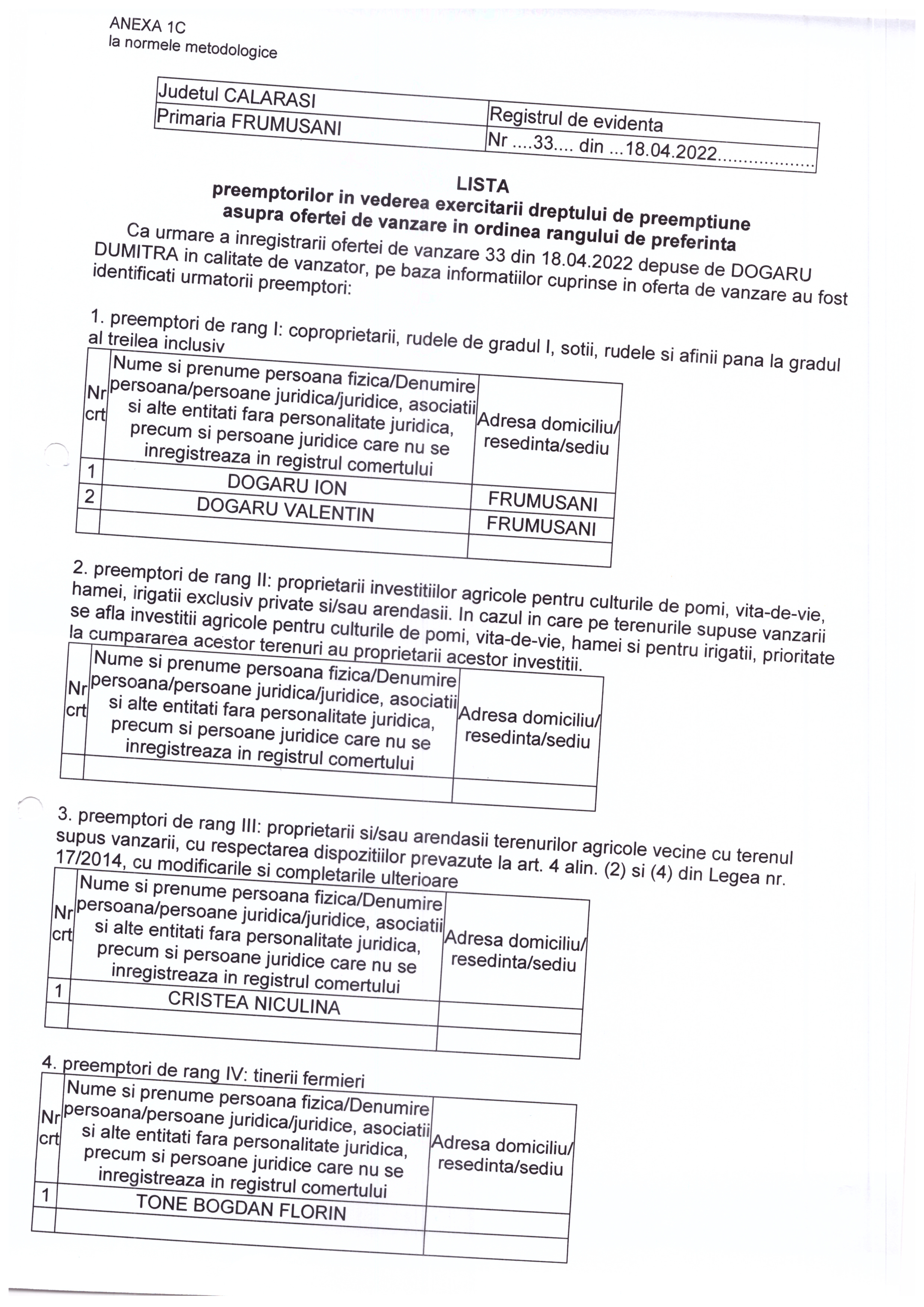
Publicații si oferte Legea nr.17 - extravilan Registrul agricol 20 April 2022 Hits: 667 Oferta vanzare teren si lista preemptori 18-04-2022 Print Email PDF Prev Next